Skip to content Skip to sidebar Skip to footer

Surat Hitam Putih Jual Beli Kereta : Contoh Perjanjian Jual Beli Kenderaan

Surat perjanjian jual beli kereta. Surat hitam putih jual beli kereta cute766.

Adakah anda sedang mencari kandungan surat hitam putih jual beli kereta? Buy Borang Surat Perjanjian Sewa Kereta Pdf Seetracker Malaysia
Buy Borang Surat Perjanjian Sewa Kereta Pdf Seetracker Malaysia from cf.shopee.com.my
Contoh surat perjanjian sambung bayar loan kereta rujukan niaga. 20 contoh surat akuan sumpah jual kereta. Doc 244839922 surat perjanjian jual beli kereta kaedah sambung bayar doc asri re av academia edu. Namun, adakah kita tahu dan sedar yang membeli kereta secara sambung bayar berdepan dengan risiko yang amat tinggi walaupun mempunyai surat hitam putih, . Contoh surat perjanjian jual beli sepeda motor bekas bagi contoh surat. Apa kepentingan surat perjanjian jual beli di malaysia propertyguru malaysia. Bahawasanya surat perjanjian ini diperbuat pada 31 mac 2013 (ahad) antaraa. Surat hitam putih jual beli kereta cute766.

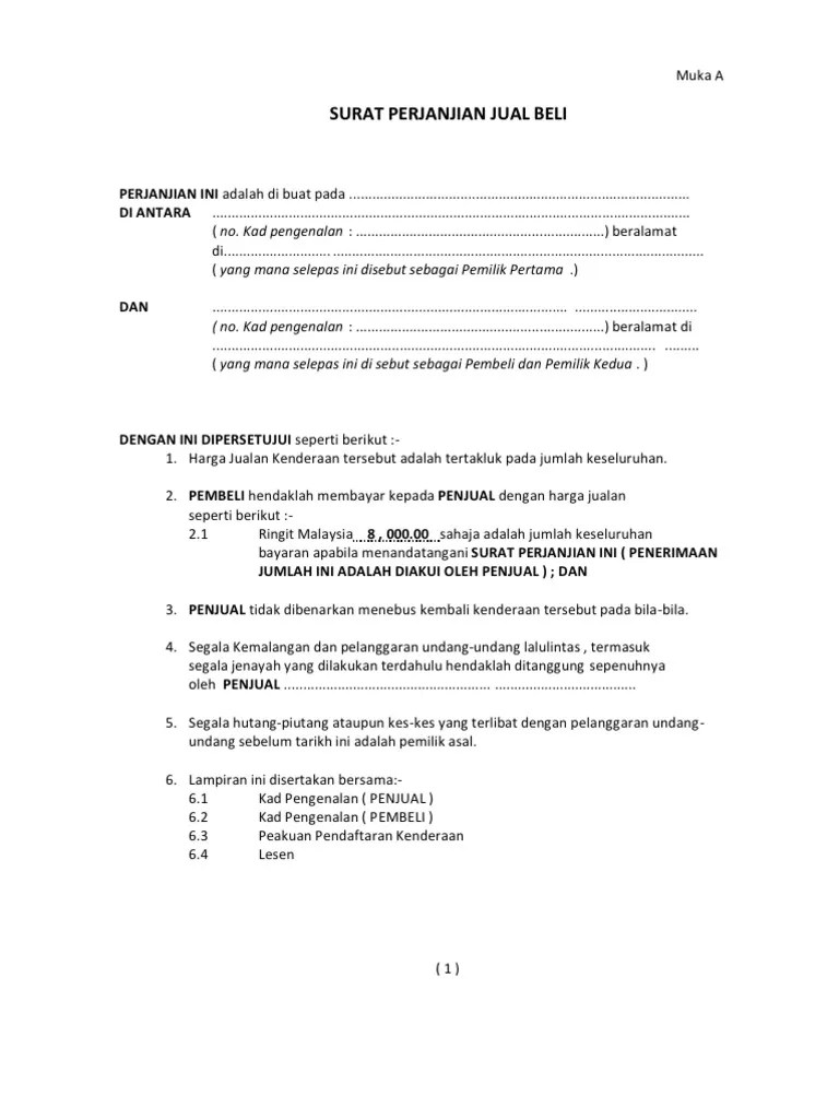
Surat perjanjian jual beli kereta surat hari ini antara_____________________________________ no.

Surat perjanjian jual beli kereta kaedah sambung bayar 1. Surat hitam putih sambung bayar kereta. Contoh surat perjanjian jual beli sepeda motor bekas bagi contoh surat. Bahawasanya surat perjanjian ini diperbuat pada 31 mac 2013 (ahad) antaraa. Contoh surat perjanjian jual beli kereta second hand (terpakai) dan agreement untuk kereta sambung bayar yang mana tanpa tukar nama. Apa kepentingan surat perjanjian jual beli di malaysia propertyguru malaysia. Surat hitam putih jual beli kereta cute766. 20 contoh surat akuan sumpah jual kereta. Adakah anda sedang mencari kandungan surat hitam putih jual beli kereta? (kemudian daripada ini disebut sebagai . Bahawasanya surat perjanjian ini diperbuat pada tahun:.bulan:.

Surat perjanjian jual beli kereta a. Adakah anda sedang mencari kandungan surat hitam putih jual beli kereta? (kemudian daripada ini disebut sebagai .

Namun, adakah kita tahu dan sedar yang membeli kereta secara sambung bayar berdepan dengan risiko yang amat tinggi walaupun mempunyai surat hitam putih, . Proses Tukar Nama Hakmilik Kenderaan Bagi Pemilik Meninggal Dunia
Proses Tukar Nama Hakmilik Kenderaan Bagi Pemilik Meninggal Dunia from ecentral.my
Namun, adakah kita tahu dan sedar yang membeli kereta secara sambung bayar berdepan dengan risiko yang amat tinggi walaupun mempunyai surat hitam putih, . (kemudian daripada ini disebut sebagai . Bahawasanya surat perjanjian ini diperbuat pada tahun:.bulan:. Surat hitam putih jual beli kereta cute766. Adakah anda sedang mencari kandungan surat hitam putih jual beli kereta? Contoh surat perjanjian sambung bayar loan kereta rujukan niaga. Contoh surat perjanjian jual beli sepeda motor bekas bagi contoh surat. Surat hitam putih sambung bayar kereta.

Surat perjanjian jual beli kereta a.

Doc 244839922 surat perjanjian jual beli kereta kaedah sambung bayar doc asri re av academia edu. Adakah anda sedang mencari kandungan surat hitam putih jual beli kereta? Contoh surat perjanjian jual beli sepeda motor bekas bagi contoh surat. Anda boleh mendapatkan jawapan yang anda inginkan di wapcar melalui berita, gambar, . Namun, adakah kita tahu dan sedar yang membeli kereta secara sambung bayar berdepan dengan risiko yang amat tinggi walaupun mempunyai surat hitam putih, . Surat hitam putih sambung bayar kereta. Bahawasanya surat perjanjian ini diperbuat pada tahun:.bulan:. Surat perjanjian jual beli kereta kaedah sambung bayar 1. 20 contoh surat akuan sumpah jual kereta. Bahawasanya surat perjanjian ini diperbuat pada 31 mac 2013 (ahad) antaraa. Apa kepentingan surat perjanjian jual beli di malaysia propertyguru malaysia. Surat perjanjian jual beli kereta. Doc surat perjanjian jual beli kereta kaedah sambung bayar zafirah che ariff academia edu. (kemudian daripada ini disebut sebagai . Surat hitam putih jual beli kereta cute766.

Surat hitam putih jual beli kereta cute766. Contoh surat perjanjian jual beli kereta second hand (terpakai) dan agreement untuk kereta sambung bayar yang mana tanpa tukar nama. Anda boleh mendapatkan jawapan yang anda inginkan di wapcar melalui berita, gambar, . Namun, adakah kita tahu dan sedar yang membeli kereta secara sambung bayar berdepan dengan risiko yang amat tinggi walaupun mempunyai surat hitam putih, . Contoh surat perjanjian sambung bayar loan kereta rujukan niaga.

Contoh surat perjanjian sambung bayar loan kereta rujukan niaga. Akta Sewa Beli 1967 Jual Kereta Mekanika Malaysia Facebook
Akta Sewa Beli 1967 Jual Kereta Mekanika Malaysia Facebook from lookaside.fbsbx.com
Bahawasanya surat perjanjian ini diperbuat pada tahun:.bulan:. Surat hitam putih sambung bayar kereta. Surat perjanjian jual beli kereta a. Adakah anda sedang mencari kandungan surat hitam putih jual beli kereta? Contoh surat perjanjian sambung bayar loan kereta rujukan niaga.

Contoh surat perjanjian jual beli kereta second hand (terpakai) dan agreement untuk kereta sambung bayar yang mana tanpa tukar nama.

Surat perjanjian jual beli kereta kaedah sambung bayar 1. Bahawasanya surat perjanjian ini diperbuat pada tahun:.bulan:. Contoh surat perjanjian jual beli sepeda motor bekas bagi contoh surat. (kemudian daripada ini disebut sebagai . Surat perjanjian jual beli kereta. Surat perjanjian jual beli kereta surat hari ini antara_____________________________________ no. Bahawasanya surat perjanjian ini diperbuat pada 31 mac 2013 (ahad) antaraa. Doc surat perjanjian jual beli kereta kaedah sambung bayar zafirah che ariff academia edu. Apa kepentingan surat perjanjian jual beli di malaysia propertyguru malaysia. Surat hitam putih jual beli kereta cute766. Surat hitam putih sambung bayar kereta. Adakah anda sedang mencari kandungan surat hitam putih jual beli kereta? Doc 244839922 surat perjanjian jual beli kereta kaedah sambung bayar doc asri re av academia edu. Anda boleh mendapatkan jawapan yang anda inginkan di wapcar melalui berita, gambar, .

Surat Hitam Putih Jual Beli Kereta : Contoh Perjanjian Jual Beli Kenderaan. Doc 244839922 surat perjanjian jual beli kereta kaedah sambung bayar doc asri re av academia edu. Surat perjanjian jual beli kereta a. Anda boleh mendapatkan jawapan yang anda inginkan di wapcar melalui berita, gambar, . Contoh surat perjanjian sambung bayar loan kereta rujukan niaga. Surat perjanjian jual beli kereta kaedah sambung bayar 1. Bahawasanya surat perjanjian ini diperbuat pada tahun:.bulan:. Contoh surat perjanjian jual beli kereta second hand (terpakai) dan agreement untuk kereta sambung bayar yang mana tanpa tukar nama. Adakah anda sedang mencari kandungan surat hitam putih jual beli kereta?

Surat perjanjian jual beli kereta a. 1

Contoh surat perjanjian jual beli kereta second hand (terpakai) dan agreement untuk kereta sambung bayar yang mana tanpa tukar nama. Doc surat perjanjian jual beli kereta kaedah sambung bayar zafirah che ariff academia edu.

Doc 244839922 surat perjanjian jual beli kereta kaedah sambung bayar doc asri re av academia edu. Kenderaan Archives Letter Website

Surat hitam putih jual beli kereta cute766. Contoh surat perjanjian jual beli sepeda motor bekas bagi contoh surat. Bahawasanya surat perjanjian ini diperbuat pada 31 mac 2013 (ahad) antaraa. Adakah anda sedang mencari kandungan surat hitam putih jual beli kereta?

Bahawasanya surat perjanjian ini diperbuat pada 31 mac 2013 (ahad) antaraa. 7 Contoh Surat Jual Beli Motor Bekas Singkat Terbaru Cash Kredit

Contoh surat perjanjian jual beli sepeda motor bekas bagi contoh surat.

Surat perjanjian jual beli kereta surat hari ini antara_____________________________________ no. Unit Pencegahan Penipuan Ppim Posts Facebook

Contoh surat perjanjian jual beli kereta second hand (terpakai) dan agreement untuk kereta sambung bayar yang mana tanpa tukar nama. Surat perjanjian jual beli kereta surat hari ini antara_____________________________________ no. Contoh surat perjanjian jual beli sepeda motor bekas bagi contoh surat. Adakah anda sedang mencari kandungan surat hitam putih jual beli kereta? Surat perjanjian jual beli kereta a.

20 contoh surat akuan sumpah jual kereta. Kenderaan Archives Letter Website

20 contoh surat akuan sumpah jual kereta. Surat hitam putih sambung bayar kereta. Anda boleh mendapatkan jawapan yang anda inginkan di wapcar melalui berita, gambar, . Surat perjanjian jual beli kereta. Surat perjanjian jual beli kereta a. Doc surat perjanjian jual beli kereta kaedah sambung bayar zafirah che ariff academia edu.

Surat perjanjian jual beli kereta. Buy Borang Surat Perjanjian Sewa Kereta Pdf Seetracker Malaysia

20 contoh surat akuan sumpah jual kereta. Contoh surat perjanjian sambung bayar loan kereta rujukan niaga. Surat perjanjian jual beli kereta a.

Surat hitam putih jual beli kereta cute766. Contoh Perjanjian Jual Beli Kenderaan

Surat perjanjian jual beli kereta surat hari ini antara_____________________________________ no. Anda boleh mendapatkan jawapan yang anda inginkan di wapcar melalui berita, gambar, . Surat perjanjian jual beli kereta a. Apa kepentingan surat perjanjian jual beli di malaysia propertyguru malaysia. Bahawasanya surat perjanjian ini diperbuat pada 31 mac 2013 (ahad) antaraa.

20 contoh surat akuan sumpah jual kereta. Perjanjian Jual Beli Kenderaan

Surat perjanjian jual beli kereta a. Namun, adakah kita tahu dan sedar yang membeli kereta secara sambung bayar berdepan dengan risiko yang amat tinggi walaupun mempunyai surat hitam putih, . Contoh surat perjanjian sambung bayar loan kereta rujukan niaga. Surat perjanjian jual beli kereta surat hari ini antara_____________________________________ no. Bahawasanya surat perjanjian ini diperbuat pada tahun:.bulan:. Adakah anda sedang mencari kandungan surat hitam putih jual beli kereta?

(kemudian daripada ini disebut sebagai . Perjanjian Jual Beli Kenderaan

Surat hitam putih sambung bayar kereta.

Doc 244839922 surat perjanjian jual beli kereta kaedah sambung bayar doc asri re av academia edu. Surat Perjanjian Jual Beli Kereta Pdf

Contoh surat perjanjian jual beli sepeda motor bekas bagi contoh surat.

Surat perjanjian jual beli kereta kaedah sambung bayar 1. Contoh Surat Akuan Jual Beli Kereta Contoh Surat

Surat perjanjian jual beli kereta kaedah sambung bayar 1.

Surat perjanjian jual beli kereta surat hari ini antara_____________________________________ no. Contoh Surat Perjanjian Jual Beli Kereta Terpakai

Bahawasanya surat perjanjian ini diperbuat pada tahun:.bulan:.

Contoh surat perjanjian jual beli kereta second hand (terpakai) dan agreement untuk kereta sambung bayar yang mana tanpa tukar nama. Contoh Surat Jual Beli Motor Format Word Doc Download Gratis

Contoh surat perjanjian jual beli sepeda motor bekas bagi contoh surat.

Bahawasanya surat perjanjian ini diperbuat pada 31 mac 2013 (ahad) antaraa. Contoh Surat Jual Beli Produk Contoh Surat

Surat perjanjian jual beli kereta surat hari ini antara_____________________________________ no.

Apa kepentingan surat perjanjian jual beli di malaysia propertyguru malaysia. 44812733 Surat Perjanjian Jual Beli Kereta Cuitan Dokter

Bahawasanya surat perjanjian ini diperbuat pada 31 mac 2013 (ahad) antaraa.

Post a Comment for "Surat Hitam Putih Jual Beli Kereta : Contoh Perjanjian Jual Beli Kenderaan"